Por: María Zamero, Cesar Quintero, María Befani, Rodrigo Schonfeld, Ailen Gomez, Luis Risso, Ayelen Schenfeld. – Facultad de Ciencias Agropecuarias – Universidad Nacional de Entre Ríos – Ruta 11, km 10,5. Entre Ríos, Argentina. cesar.quintero@uner.edu.ar
INTRODUCCIÓN
En Argentina, el arroz se cultiva en las provincias del Litoral en unas 200.000 hectáreas con alta intensidad y tecnología. La productividad media de arroz muestra un estancamiento en los últimos 15 años oscilando entre 6 a 8 tn ha-1; sin embargo, algunos productores obtienen rendimientos mayores a 10 tn ha-1 en condiciones óptimas de manejo. Existe una importante brecha de rendimiento de 54 % del potencial que es de 14 a 15 tn ha-1.
Los suelos utilizados para producir arroz en Entre Ríos son mayoritariamente Vertisoles o tienen características vérticas (arcillas expansivas). En general presentan limitaciones físicas que restringen su aptitud agrícola para otros cereales o soja, con poca capacidad de circulación del agua y aire, alta resistencia a la penetración y con escasa posibilidad de enraizamiento. Esto los hace muy aptos para el arroz bajo riego por inundación.
El cultivo de arroz se adapta a suelos de baja fertilidad; sin embargo, la intensificación agrícola ha deteriorado la fertilidad natural de los suelos destinados al arroz y es posible que las dosis de fósforo (P), nitrógeno (N) y cinc (Zn) utilizadas habitualmente no sean suficientes o que se requiera de la aplicación de otros nutrientes fertilizantes. La rentabilidad de la producción actual de arroz requiere de lograr rendimientos más altos para cubrir los elevados costos de producción. Una mejor nutrición balanceada permitiría reducir la brecha de rendimientos.
El objetivo del presente trabajo fue evaluar estrategias de fertilización en el cultivo de arroz en la provincia de Entre Ríos (Argentina).
ENSAYOS Y METODOLOGÍA UTILIZADA
Se trabajó en 9 lotes comerciales diferentes a lo largo de 3 años en la provincia de Entre Ríos (Argentina), durante las campañas agrícolas: 2020/21, en las localidades de San Salvador, San José de Feliciano y Jubileo, 2021/22, en Jubileo, La Paz y San Jaime de la Frontera y 2022/23, en La Paz, Jubileo y San Jaime de la Frontera.
El tamaño de cada parcela fue de 50 m de ancho por 200 m y se realizaron 4 tratamientos en cada sitio:
- Testigo: Sin fertilizantes. Solamente con el objetivo de conocer el nivel de base u oferta natural del suelo.
- Mínimo: Fertilización promedio del productor típico. Es la alternativa de base a superar en términos físicos y económicos.
- Mejorado: Es un tratamiento con una fertilización óptima, posible de llevar adelante de manera extensiva. Se asemeja a lo utilizado por los productores que obtienen mayor productividad.
- Potencial: Este tratamiento busca explorar un potencial productivo sin limitaciones de nutrientes, aunque puede ser económicamente inviable.
Los promedios de nutrientes incorporados por medio de la fertilización se presentan en la Tabla 1. Se utilizaron las fuentes tradicionales, fosfato mono amónico, UREA, cloruro de potasio, además de mezclas químicas con azufre y cinc más cinc foliar. El P, K y Zn se aplicaron a la siembra, el N fraccionado en 4 hojas (70%) y en diferenciación. Mientras que el Zn fue incorporado en semillas y foliar. Todas las aplicaciones, así como las tareas de siembra y cosecha fueron realizadas con la maquinaria del productor.
“Las variables analizadas fueron: biomasa seca, concentración de N, P, K, S y Zn y rendimiento de grano”
Las variedades sembradas fueron Gurí INTA, IRGA 424 y Memby Porá INTA, todas variedades de grano largo fino. El riego del cultivo por inundación también fue manejado por los productores de manera tradicional, iniciando la inundación a principios de macollaje hasta la madurez, con las restricciones y limitaciones que determinan una inundación intermitente no continua frecuentemente.
El seguimiento del cultivo fue desde siembra a cosecha; se tomaron muestras de plantas de cada tratamiento, con 3 repeticiones por sitio (tamaño 50 cm lineal) en 5 momentos fenológicos (pre riego o inicial, 15-20 días posterior a inicio de riego o pleno macollaje, diferenciación de primordio floral, floración y madurez). En laboratorio se separaron en hojas verdes, hojas secas o senescentes, tallos y panojas.
Las variables analizadas fueron: biomasa seca, concentración de N, P, K, S y Zn y rendimiento de grano. Se calculó la acumulación de materia seca, absorción o consumo de N, P, K, S y Zn, y la eficiencia de recuperación del fertilizante, la eficiencia interna de utilización y el consumo de los nutrientes en grano. Los datos estadísticos se evaluaron mediante INFOSTAT.
RESULTADOS Y DISCUSIÓN
- Rendimiento de grano y componentes de rendimiento
Observamos una respuesta muy significativa en el rendimiento. En la Tabla 2 se reportan los componentes de rendimientos obtenidos. No se evidenciaron diferencias significativas para el número de plantas por superficie, el peso de granos y el porcentaje de granos vanos. El aumento de rendimiento estuvo dado por un cambio significativo en el número de panículas y en el número de granos por panoja.
Se obtuvo 17,8% (1271 kg ha-1), 27,4% (1956 kg ha-1) y 37,6% (2605 kg ha-1) más de rinde de granos en los tratamientos Mínimo, Mejorado y Potencial con respecto al Testigo. Aunque teniendo en cuenta el tratamiento Mínimo, considerado más frecuente, se observó un incremento de rendimiento de 8,1% (685 kg ha-1) en Mejorado y 16,8% (1412 kg ha-1) en Potencial
- Absorción de nutrientes en madurez fisiológica
La absorción de nutrientes (NPKSZn) fue muy significativamente afectada, dado que hubo cambios en la biomasa de los diferentes órganos y en la concentración de elementos en los tejidos vegetales. En la Tabla 3 se presentan los nutrientes absorbidos a la madurez del cultivo para las tres campañas evaluadas. Con las estrategias de fertilización utilizadas, aumentando las dosis de N, P y K e incorporando S y Zn, el cultivo respondió formando más biomasa, consumiendo más elementos nutricionales e incrementando el rendimiento en grano como se observa en Mejorado y Potencial.
El aporte de fertilización con S y Zn mejoró el balance de los nutrientes, incrementando la absorción principalmente del nitrógeno y posteriormente del P y K, observándose en el tratamiento Potencial.
- Absorción o acumulación de nitrógeno en la planta
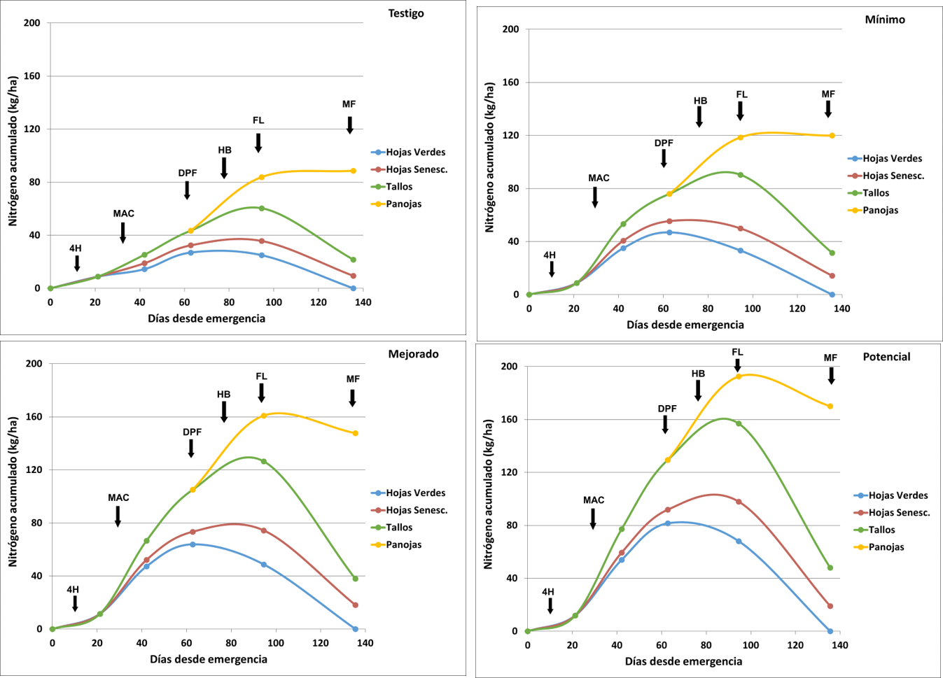
El N se considera como el principal nutriente formador de área foliar, capaz de aumentar la radiación solar interceptada y la tasa fotosintética, determinando los rendimientos de biomasa y grano en el arroz. Sin embargo, eso es posible si dispone de cantidades adecuadas de otros nutrientes. En la Figura 1 se presenta la tasa diaria de absorción de nitrógeno. Se puede observar que el N se absorbe a muy altas tasas durante el macollaje hasta la diferenciación, donde se presenta la mayor diferencia entre los tratamientos. Luego, en la etapa reproductiva, sobre todo de floración a llenado de granos, la absorción decae fuertemente.

Figura 1: tasa de absorsión total de nitrògeino promedio para el ciclo del cultivo segùn tratamientos. Referenicas: 4H: cuatro hojas (fertilización principal N) ; MAC: macollaje; DPF: diferenciaciòn de primordio de floral (segunda dosisi N) ; FL: floración; MF: maduracion fisiológica
En las figuras siguientes se puede apreciar como el N se absorbe y acumula en las diferentes partes de la planta a lo largo del ciclo (Figura 2). Con baja disponibilidad de N, en los tratamientos Testigo y Mínimo, la acumulación de N en tallos y hojas apenas supera los 80 kg ha-1. En los tratamientos Mejorado y Potencial, con mayores dosis de N acompañadas de Zn y S, se llegó a 160 N kg ha-1, que luego son removilizados en alta proporción hacia los granos.

Las tasas de absorción de los demás nutrientes evaluados (PKSZn), así como las relaciones fuente-destino, fueron distintas al N y particulares para cada elemento (datos no presentados en esta publicación).
“Las estrategias de fertilización balanceada permitieron reducir la brecha de rendimientos en 20% respecto a la media provincial”
- Recuperación aparente del fertilizante
Asumiendo que la “Recuperación de nutrientes del fertilizante” es la diferencia de nutrientes que se absorben los tratamientos fertilizados menos el testigo sin fertilizar, se la considera como una “absorción aparente” o eficiencia de utilización. Generalmente la tasa de recuperación disminuye al aumentar la dosis del nutriente. El resultado encontrado se detalla en la Tabla 4. No hubo diferencias significativas para los macronutrientes, que mantuvieron la eficiencia gracias a la fertilización balanceada y completa.
La incorporación de azufre y cinc al cultivo mejoró la recuperación aparente de N y P, evidenciándose un balance entre la demanda del cultivo y la oferta de nutrientes que permiten sostener las eficiencias de los fertilizantes. La absorción de K superó lo aportado en los fertilizantes, lo que indica que el porte de los otros nutrientes permitió absorber más K nativo del suelo.
El consumo de nutrientes en grano (kg nutrientes por tn de grano) para N fue de 12,5 kg tn-1 a 18,3 kg tn-1 y para el P, de 2,9 a 4.0 kg tn-1 En el caso del potasio varió entre 19,1 a 23,4 kg. El S resultó entre 2,1 a 2,6 kg tn-1 y para el Zn el consumo fue de 58,4 a 76,0 g tn-1.
Síntesis
Los tratamientos Mejorado y Potencial favorecieron el aumento de la biomasa del cultivo de arroz, la absorción de nutrientes y los consumos de nutrientes en granos. Como resultado, mejoraron la interacción fuente-destino y la eficiencia fotosintética. La eficiencia interna de utilización y las recuperaciones aparente de los nutrientes N, P y K aportados por los fertilizantes se incrementaron con el agregado de azufre y cinc. El rendimiento aumentó como resultado de mayor índice de área foliar, mayor número de tallos más pesados, que produjeron más panojas y más granos por panojas. Todos estos factores nutricionales permitieron aumentar los rendimientos de grano gracias al agregado de N, P, K, S y Zn en forma balanceada.
Las estrategias de fertilización balanceada permitieron reducir la brecha de rendimientos en 20% respecto a la media provincial. La eficiencia de uso de los fertilizantes (sobre todo N) se vio favorecida por el aporte de otros nutrientes (Zn+S).
Es posible alcanzar mayores rendimientos mediante una estrategia de fertilización que incluya los nutrientes N-P-K-S-Zn en proporciones y cantidades adecuadas. Es fundamental acompañar la estrategia de fertilización con un manejo adecuado de los aspectos definitorios del rendimiento como fecha de siembra y densidad de plantas.
Este trabajo fue financiado por la Fundación PROARROZ y se enmarca en actividades de investigación desarrolladas por la Facultad de Ciencias Agropecuarias (UNER). Agradecimiento especial a los productores que permitieron la realización de este trabajo.
Fuente Horizonte A